近日,我团队设计并合成了一种新型负热膨胀高熵氧化物荧光粉 (Al0.196Sc0.196In0.196Yb0.196Y0.196)2Mo3O12:0.04Er3+ (HEMO),该材料同时具备负热膨胀性能和热增强上转换发光特性,相关成果以《High-entropy negative thermal expansion oxide with thermally enhanced upconversion luminescence》为题发表在《Applied Physics Letters》上,博士生陈鑫为第一作者。
在精密仪器、高端光学设备等领域,材料的热膨胀系数是影响设备稳定性和精度的关键参数。传统材料多表现为正热膨胀,而负热膨胀材料的出现,为材料热膨胀行为的调控提供了新方案。该工作将高熵固溶体策略引入到A2Mo3O12框架中,研发了材料HEMO。通过同步辐射X射线衍射、透射电子显微镜等多种先进技术表征,研究人员发现HEMO为正交晶系,空间群为Pbcn,其三维框架由角共享连接的Al/Sc/In/Yb/Y/ErO6八面体和MoO4四面体构成。
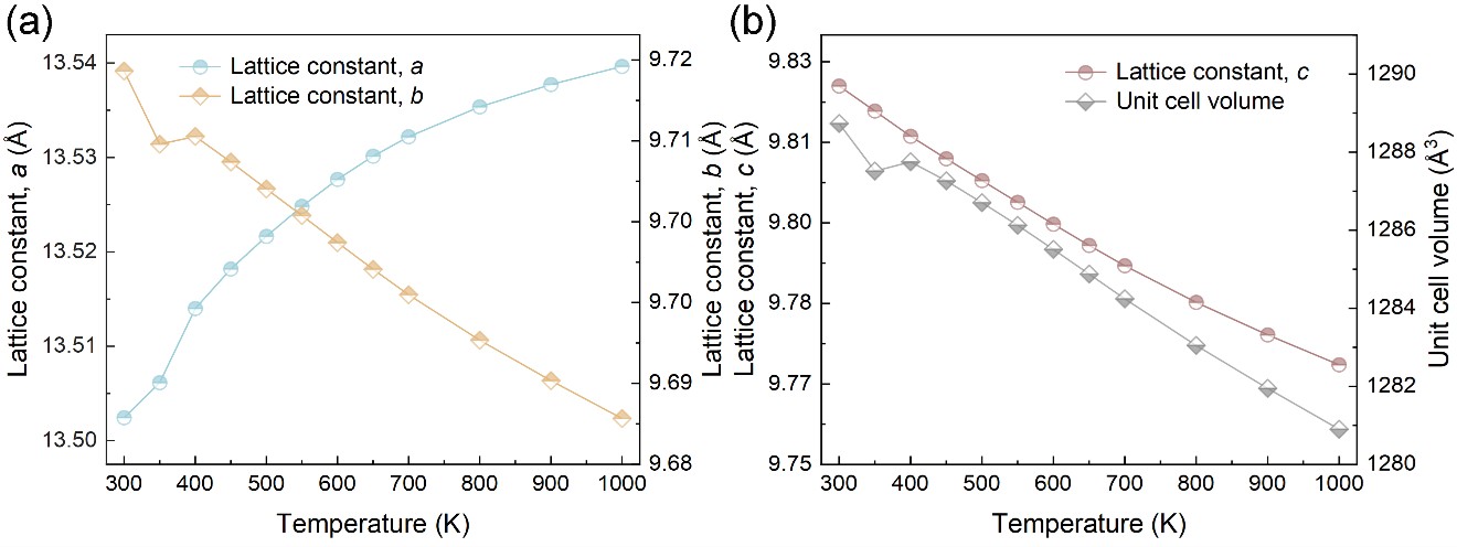
在 300K 至 1000K 的温度范围内,HEMO展现出各向异性热膨胀行为:a 轴方向为正热膨胀(αa = 3.88 × 10-6 K-1),b轴和c轴方向为负热膨胀(αb = –4.89 × 10-6 K-1、αc = –7.62 × 10-6 K-1),体积呈现负热膨胀(αV = –8.63 × 10-6 K-1)(图1)。进一步的结构分析表明,HEMO的负热膨胀源于多面体的耦合旋转,而氧原子的横向振动是其负热膨胀行为的内在驱动力。300-400 K 区间晶格参数的突变,则是由晶格中吸附水脱附引发的结构弛豫效应导致,并非传统意义上的结构相变。

图1. (a) 晶格常数a和b;(b)晶格常数c以及晶胞体积V在300-1000K温度范围内的温度依赖性。
多数荧光材料在高温环境下会出现热猝灭现象,即发光强度随温度升高而显著下降,这极大限制了其在高功率光学器件中的应用。而 HEMO则展现出独特的负热猝灭特性,实现了发光性能的 “热增强”。在 980 nm 激光激发下,HEMO中Er3+离子产生三个特征上转换发光带(图2a)。在300 K至650 K的温度区间内,其绿光发射强度最高可提升53.4倍,红光发射强度也能提升39.0倍 (图2b)。这种优异的热增强发光效果,主要源于两大机制:一是低温下晶格中的水分子会抑制Er3+的能级跃迁,而温度升高后水分子脱附,解除了对发光的抑制;二是 HEMO 在bc平面的负热膨胀缩短了Yb3+与Er3+的离子间距,大幅提升了能量传递效率,从而显著增强上转换发光强度。伴随发光强度的变化,HEMO的CIE色度坐标也从 (0.262, 0.715) 偏移至 (0.214, 0.749) (图2c)。

图 2. (a) 300–650 K温度范围内,高熵氧化物HEMO在980nm激光激发下的上转换发光(UCL)发射光谱;(b) Er3+从2H11/2、4S3/2和4F9/2能级跃迁至4I15/2基态所对应的上转换发光积分强度;(c) 980nm 激光激发下HEMO的国际照明委员会(CIE)色度图;(d) 300–650K 温度区间内的绝对灵敏度(Sa)和相对灵敏度(Sr)曲线。
基于Er3+热耦合能级的荧光强度比(FIR),科研团队还评估了HEMO的温度传感性能。在300K-650 K范围内,其荧光强度比FIR527/553从1.00上升至2.79,且与温度的关系符合玻尔兹曼统计规律,拟合优度R2达到了0.999。经计算,HEMO 的绝对温度灵敏度Sa最大值达1.06% K-1(560 K),相对温度灵敏度Sr最大值为0.84% K–1(300 K) (图2d),展现出优异的温度传感能力,有望成为非接触式温度传感领域的理想候选材料。
该研究不仅成功开发出一种兼具负热膨胀和热增强上转换发光的新型高熵材料,还为负热膨胀高熵材料在功能荧光粉领域的应用开辟了新路径,对精密温控器件、高温光学传感等领域的技术升级具有重要推动作用。据悉,这项研究得到了国家自然科学基金、河南省自然科学基金、重庆市自然科学基金等多个项目的资助,同步辐射 X 射线衍射实验则依托日本SPring-8同步辐射装置完成。
文章链接:https://doi.org/10.1063/5.0306792
